Prof. Claudio Sartori

Laboratorio di Informatica


Torna a Claudio Sartori - Didattica

Informativa Privacy

Medie e indici statistici

Per ciascuno dei quesiti che seguono, scrivere prima l'algoritmo a parole, da riportare all'inizio del programma sorgente come commento.

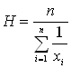
a. media armonica

Scrivere un programma che acquisisce da input dei valori diversi da 0 e ne calcola la media armonica con la formula. La sequenza di input si arresta quando viene inserito il valore 0. = media armonica

Soluzione

b. media pesata

Scrivere un programma che acquisisce da input n coppie di numeri di cui il primo rappresenta il peso e il secondo il valore. Al termine si mostri la media pesata dei valori letti.

= media pesata

Soluzione

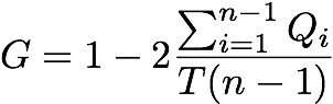
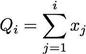
c. indice di Gini

Scrivere un programma che acquisisce da input una serie di n valori di reddito di persone, in ordine crescente, e calcola l'indice di concentrazione di Gini, utilizzando le seguenti formule

Suggerimento: si osserva che quindi il calcolo può essere eseguito con una sola lettura dei valori x. Ad ogni input di x, si incrementano T, Q e il numeratore della parte destra di G. L'esecuzione va ripetuta n-1 volte, poi si acquisisce l'ultimo valore di x per calcolare T finale e si esegue l'ultimo calcolo per G.

Soluzione

Per qualsiasi problema su questa pagina contattare il webmaster.